Past Issue in 2023

Volume: 13, Issue: 5

left

Dec

20

Dec

5

Nov

20

Nov

5

Oct

20

Oct

5

Sep

20

Sep

5

Aug

20

Aug

5

Jul

20

Jul

5

Jun

20

Jun

5

May

20

May

5

Apr

20

Apr

5

Mar

20

Mar

5

Feb

20

Feb

5

Jan

20

Jan

5

right

Biochemistry

Assessment of Oxidative Stress Biomarkers in Rat Blood

Assessment of Oxidative Stress Biomarkers in Rat Blood

YS Yuri K. Sinzato
TR Tiago Rodrigues
Ld Larissa L. Cruz
VB Vinícius S. Barco
MS Maysa R. Souza
gv Gustavo T. Volpato
DD Débora C. Damasceno
2656 Views
Mar 5, 2023
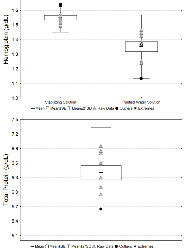
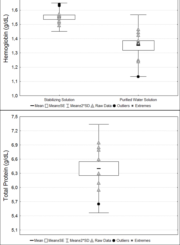
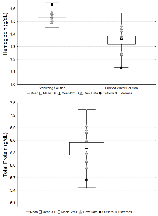
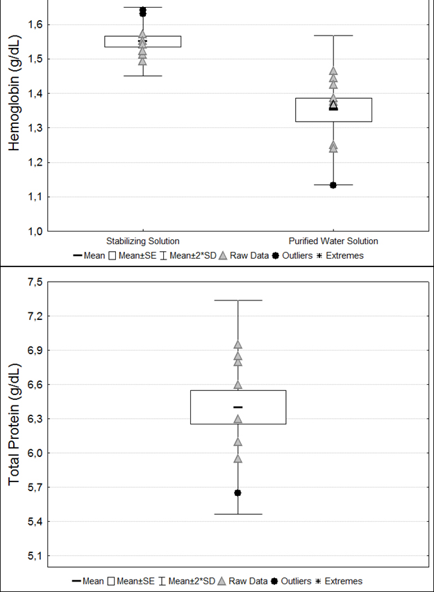
Redox status assessments are time-consuming, require a large volume of samples and great reagent amounts, and are not adequately described for methodological reproducibility. Here, the objective was to standardize redox balance determination, based on previously described spectrophotometric tests in pregnant rats, to improve precision, time dispensed, and the volume of samples and reagents, while maintaining accuracy and adequate cost benefits. This protocol summarizes oxidative stress markers, which focus on spectrophotometric tests for the assessment of thiobarbituric acid–reactive substances, reduced thiol groups, and hydrogen peroxide, as well as the antioxidant activity of superoxide dismutase, glutathione peroxidase, and catalase in washed erythrocyte and serum samples from full-term pregnant rats. For non-pregnant rats and other species, it is necessary to standardize these determinations, especially the sample volume. All measurements were normalized by the estimated protein concentrations in each sample. To establish optimum conditions for the reproducibility of the proposed methods, we describe all changes made in each assay’s steps based on the reference method reassessed for the new standardizations. Furthermore, the calculations of the concentrations or activities of each marker are presented. Thus, we demonstrate that the analysis of serum samples is easier and faster, but it is impossible to detect catalase activity. Furthermore, the proposed methods can be applied for redox balance determination, especially using smaller reagent amounts and lower sample volumes in lesser time without losing accuracy, as is required in obtaining samples during rat pregnancy.

Biological Engineering

3D Compartmentalised Human Pluripotent Stem Cell–derived Neuromuscular Co-cultures

3D Compartmentalised Human Pluripotent Stem Cell–derived Neuromuscular Co-cultures

PH Peter Harley
AP Amaia Paredes-Redondo
GG Gianluca Grenci
VV Virgile Viasnoff
YL Yung-Yao Lin
IL Ivo Lieberam
4118 Views
Mar 5, 2023
Human neuromuscular diseases represent a diverse group of disorders with unmet clinical need, ranging from muscular dystrophies, such as Duchenne muscular dystrophy (DMD), to neurodegenerative disorders, such as amyotrophic lateral sclerosis (ALS). In many of these conditions, axonal and neuromuscular synapse dysfunction have been implicated as crucial pathological events, highlighting the need for in vitro disease models that accurately recapitulate these aspects of human neuromuscular physiology. The protocol reported here describes the co-culture of neural spheroids composed of human pluripotent stem cell (PSC)–derived motor neurons and astrocytes, and human PSC-derived myofibers in 3D compartmentalised microdevices to generate functional human neuromuscular circuits in vitro. In this microphysiological model, motor axons project from a central nervous system (CNS)–like compartment along microchannels to innervate skeletal myofibers plated in a separate muscle compartment. This mimics the spatial organization of neuromuscular circuits in vivo. Optogenetics, particle image velocimetry (PIV) analysis, and immunocytochemistry are used to control, record, and quantify functional neuromuscular transmission, axonal outgrowth, and neuromuscular synapse number and morphology. This approach has been applied to study disease-specific phenotypes for DMD and ALS by incorporating patient-derived and CRISPR-corrected human PSC-derived motor neurons and skeletal myogenic progenitors into the model, as well as testing candidate drugs for rescuing pathological phenotypes. The main advantages of this approach are: i) its simple design; ii) the in vivo–like anatomical separation between CNS and peripheral muscle; and iii) the amenability of the approach to high power imaging. This opens up the possibility for carrying out live axonal transport and synaptic imaging assays in future studies, in addition to the applications reported in this study.Graphical abstractGraphical abstract abbreviations: Channelrhodopsin-2 (CHR2+), pluripotent stem cell (PSC), motor neurons (MNs), myofibers (MFs), neuromuscular junction (NMJ).

Biophysics

Visualization of Lipid Droplets in the Alveolar Macrophage Cell Line MH-S with Live-cell Imaging by 3D Holotomographic Microscopy (Nanolive)

Visualization of Lipid Droplets in the Alveolar Macrophage Cell Line MH-S with Live-cell Imaging by 3D Holotomographic Microscopy (Nanolive)

AP Andrea Pérez-Montero
OZ Oscar Zaragoza
AL Alfonso Luque
SH Sonsoles Hortelano
PA Paloma Acebo
1804 Views
Mar 5, 2023
Lipid droplets (LD), triglycerides and sterol esters among them, are well known for their capacity as lipid storage organelles. Recently, they have emerged as critical cytoplasmic structures involved in numerous biological functions. LD storage is generated de novo by the cell and provides an energy reserve, lipid precursors, and cell protection. Moreover, LD accumulation can be observed in some pathologies as obesity, atherosclerosis, or lung diseases. Fluorescence imaging techniques are the most widely used techniques to visualize cellular compartments in live cells, including LD. Nevertheless, presence of fluorophores can damage subcellular components and induce cytotoxicity, or even alter the dynamics of the organelles. As an alternative to fluorescence microscopy, label-free techniques such as stimulated Raman scattering and coherent anti-stokes Raman scattering microscopy offer a solution to avoid the undesirable effects caused by dyes and fluorescent proteins, but are expensive and complex. Here, we describe a label-free method using live-cell imaging by 3D holotomographic microscopy (Nanolive) to visualize LD accumulation in the MH-S alveolar macrophage cell line after treatment with oleic acid, a monounsaturated fatty acid that promotes lipid accumulation.

Cancer Biology

Amplification and Quantitation of Telomeric Extrachromosomal Circles

Amplification and Quantitation of Telomeric Extrachromosomal Circles

NR Nathaniel J. Robinson
WS William P. Schiemann
2061 Views
Mar 5, 2023
Telomeres are structures that cap the ends of linear chromosomes and play critical roles in maintaining genome integrity and establishing the replicative lifespan of cells. In stem and cancer cells, telomeres are actively elongated by either telomerase or the alternative lengthening of telomeres (ALT) pathway. This pathway is characterized by several hallmark features, including extrachromosomal C-rich circular DNAs that can be probed to assess ALT activity. These so-called C-circles are the product of ALT-associated DNA damage repair processes and simultaneously serve as potential templates for iterative telomere extension. This bifunctional nature makes C-circles highly sensitive and specific markers of ALT. Here, we describe a C-circle assay, adapted from previous reports, that enables the quantitation of C-circle abundance in mammalian cells subjected to a wide range of experimental perturbations. This protocol combines the Quick C-circle Preparation (QCP) method for DNA isolation with fluorometry-based DNA quantification, rolling circle amplification (RCA), and detection of C-circles using quantitative PCR. Moreover, the inclusion of internal standards with well-characterized telomere maintenance mechanisms (TMMs) allows for the reliable benchmarking of cells with unknown TMM status. Overall, our work builds upon existing protocols to create a generalizable workflow for in vitro C-circle quantitation and ascertainment of TMM identity.

Cell Biology

Laser Capture Microdissection (LCM) of Human Skin Sample for Spatial Proteomics Research

Laser Capture Microdissection (LCM) of Human Skin Sample for Spatial Proteomics Research

QZ Qiyu Zhang
HG Huizi Gong
JM Jie Ma
JL Jun Li
LL Ling Leng
2265 Views
Mar 5, 2023
In mammals, the skin comprises several distinct cell populations that are organized into the following layers: epidermis (stratum corneum, stratum granulosum, stratum spinosum, and basal layer), basement membrane, dermis, and hypodermal (subcutaneous fat) layers. It is vital to identify the exact location and function of proteins in different skin layers. Laser capture microdissection (LCM) is an effective technique for obtaining pure cell populations from complex tissue sections for disease-specific genomic and proteomic analysis. In this study, we used LCM to isolate different skin layers, constructed a stratified developmental lineage proteome map of human skin that incorporates spatial protein distribution, and obtained new insights into the role of extracellular matrix (ECM) on stem cell regulation.

Immunology

A Tumor-admixture Model to Interrogate Immune Cell–dependent Tumorigenesis

A Tumor-admixture Model to Interrogate Immune Cell–dependent Tumorigenesis

JN Jordan T. Noe
CD Chuanlin Ding
AG Anne E. Geller
BR Beatriz E. Rendon
JY Jun Yan
RM Robert A. Mitchell
2815 Views
Mar 5, 2023
A rigorous determination of effector contributions of tumor-infiltrating immune cells is critical for identifying targetable molecular mechanisms for the development of novel cancer immunotherapies. A tumor/immune cell–admixture model is an advantageous strategy to study tumor immunology as the fundamental methodology is relatively straightforward, while also being adaptable to scale to address increasingly complex research queries. Ultimately, this method can provide robust experimental information to complement more traditional murine models of tumor immunology. Here, we describe a tumor/macrophage-admixture model using bone marrow–derived macrophages to investigate macrophage-dependent tumorigenesis. Additionally, we provide commentary on potential branch points for optimization with other immune cells, experimental techniques, and cancer types.

Microbiology

Optimized Expression and Isolation of Recombinant Active Secreted Proteases Using Pichia pastoris

Optimized Expression and Isolation of Recombinant Active Secreted Proteases Using Pichia pastoris

AT Adam Turner
DL Dylan M. Lanser
AG Angie Gelli
3879 Views
Mar 5, 2023
Recombinant proteins of high quality are crucial starting materials for all downstream applications, but the inherent complexities of proteins and their expression and purification create significant challenges. The Pichia pastoris yeast is a highly useful eukaryotic protein expression system. Pichia’s low cost, genetic tractability, rapid gene expression, and scalability make it an ideal expression system for foreign proteins. Here, we developed a protocol that has optimized the expression and isolation of a non-mammalian secreted metalloprotease, where we can routinely generate recombinant proteins that are pure and proteolytically active. We maximized growth and protein production by altering the feeding regime, through implementation of a non-fermentable and non-repressing carbon source during the methanol-induction phase. This approach increased biomass production and yielded milligrams of recombinant protein. Downstream applications involving active, recombinant fungal proteases, such as conjugation to nanoparticles and structure-related studies, are greatly facilitated with this improved, standardized approach.Graphical abstract

Molecular Biology

Molecular Surveillance of Malaria Using the PF AmpliSeq Custom Assay for Plasmodium falciparum Parasites from Dried Blood Spot DNA Isolates from Peru

Molecular Surveillance of Malaria Using the PF AmpliSeq Custom Assay for Plasmodium falciparum Parasites from Dried Blood Spot DNA Isolates from Peru

JK Johanna Helena Kattenberg
Nv Norbert J. van Dijk
CF Carlos A. Fernández-Miñope
PG Pieter Guetens
MM Mathijs Mutsaers
DG Dionicia Gamboa
AR Anna Rosanas-Urgell
2189 Views
Mar 5, 2023
Malaria molecular surveillance has great potential to support national malaria control programs (NMCPs), informing policy for its control and elimination. Here, we present a new three-day workflow for targeted resequencing of markers in 13 resistance-associated genes, histidine rich protein 2 and 3 (hrp2&3), a country (Peru)-specific 28 SNP-barcode for population genetic analysis, and apical membrane antigen 1 (ama1), using Illumina short-read sequencing technology. The assay applies a multiplex PCR approach to amplify all genomic regions of interest in a rapid and easily standardizable procedure and allows simultaneous amplification of a high number of targets at once, therefore having great potential for implementation into routine surveillance practice by NMCPs. The assay can be performed on routinely collected filter paper blood spots and can be easily adapted to different regions to investigate either regional trends or in-country epidemiological changes.

Neuroscience

Establishment of an in vitro Differentiation and Dedifferentiation System of Rat Schwann Cells

Establishment of an in vitro Differentiation and Dedifferentiation System of Rat Schwann Cells

ZY Ying Zou
1841 Views
Mar 5, 2023
In the peripheral nervous system, Schwann cells are the primary type of glia. This protocol describes an in vitro differentiation and dedifferentiation system for rat Schwann cells. These cultures and systems can be used to investigate the morphological and biochemical effects of pharmacological intervention or lentivirus-mediated gene transfer on the process of Schwann cell differentiation or dedifferentiation.Graphical abstract

Plant Science

Isolation of Intact Vacuoles from Arabidopsis Root Protoplasts and Elemental Analysis

Isolation of Intact Vacuoles from Arabidopsis Root Protoplasts and Elemental Analysis

CJ Chuanfeng Ju
DF Dali Fu
CW Cun Wang
ZZ Zhenqian Zhang
2108 Views
Mar 5, 2023
The vacuole is one of the most conspicuous organelles in plant cells, participating in a series of physiological processes, such as storage of ions and compartmentalization of heavy metals. Isolation of intact vacuoles and elemental analysis provides a powerful method to investigate the functions and regulatory mechanisms of tonoplast transporters. Here, we present a protocol to isolate intact vacuoles from Arabidopsis root protoplasts and analyze their elemental content by inductively coupled plasma mass spectrometry (ICP-MS). In this protocol, we summarize how to prepare the protoplast, extract the vacuole, and analyze element concentration. This protocol has been applied to explore the function and regulatory mechanisms of tonoplast manganese (Mn) transporter MTP8, which is antagonistically regulated by CPK4/5/6/11 and CBL2/3-CIPK3/9/26. This protocol is not only suitable for exploring the functions and regulatory mechanisms of tonoplast transporters, but also for researching other tonoplast proteins.Graphical abstract

Correction

Correction Notice: Measurements of Proline and Malondialdehyde Contents and Antioxidant Enzyme Activities in Leaves of Drought Stressed Cotton

Correction Notice: Measurements of Proline and Malondialdehyde Contents and Antioxidant Enzyme Activities in Leaves of Drought Stressed Cotton

Tianzi Chen Tianzi Chen
BZ Baolong Zhang
1393 Views
Mar 5, 2023
Correction Notice: Induction of Temporal Lobe Epilepsy in Mice with Pilocarpine

Correction Notice: Induction of Temporal Lobe Epilepsy in Mice with Pilocarpine

Muhammad N. Arshad Muhammad N. Arshad
Janice R. Naegele Janice R. Naegele
599 Views
Mar 5, 2023