往期刊物2016

卷册: 6, 期号: 19

left

Dec

20

Dec

5

Nov

20

Nov

5

Oct

20

Oct

5

Sep

20

Sep

5

Aug

20

Aug

5

Jul

20

Jul

5

Jun

20

Jun

5

May

20

May

5

Apr

20

Apr

5

Mar

20

Mar

5

Feb

20

Feb

5

Jan

20

Jan

5

right

生物化学

冰点渗透压测定法测量大鼠的血清渗透压

Measuring Rat Serum Osmolality by Freezing Point Osmometry

冰点渗透压测定法测量大鼠的血清渗透压

Jerneja Stare Jerneja Stare
CB Charles W. Bourque
14491 Views
Oct 5, 2016
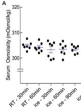
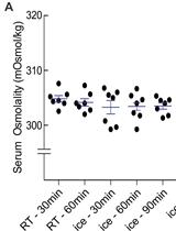
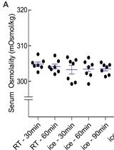
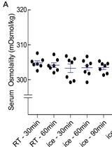
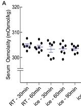
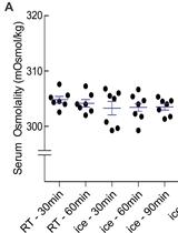
Blood serum or plasma osmolality is the measure of electrolyte to water balance in the body’s circulation, and is tightly regulated in physiological states in order to maintain normal levels of serum solute (Bourque, 2008). Osmolality is defined as the number of osmoles of solute per kg of water (mOsm/kg) (Dufour, 1993) and can be measured using different techniques that rely on the colligative properties of the solution. The most commonly used in lab settings are vapour pressure and freezing point osmometry, which are relatively quick and easy to perform. Freezing point osmometry is preferred because it is insensitive to volatile compounds, such as alcohol, that may be present in the solution. Measurement of serum or plasma osmolality is clinically relevant for a number of conditions and diseases, including hypernatremia, diabetic ketoacidosis, and the syndrome of inappropriate antidiuresis (Ellison, 2013; Lupsa and Inzucchi, 2013; Reddi, 2013). In this protocol, we describe the measurement of serum osmolality in rats using the freezing point osmometry technique as originally outlined in our previous study of osmoregulatory perturbations in sepsis (Stare et al., 2015).
无细菌细胞的提取物总葡萄糖-6-磷酸活性的测量

Measurement of Glucose-6-phosphate Dehydrogenase Activity in Bacterial Cell-free Extracts

无细菌细胞的提取物总葡萄糖-6-磷酸活性的测量

Haydar Karakaya Haydar Karakaya
Kübra Özkul
14391 Views
Oct 5, 2016
Glucose-6-phosphate dehydrogenase (G6PDH) (EC 1.1.1.49) is the first enzyme of the oxidative pentose phosphate cycle and catalyses the conversion of glucose-6-phosphate (G6P) to 6-phosphoglucono-δ-lactone and transfers one electron to NADP+ producing one NADPH. Conversion of G6P to 6-phosphoglucono-δ-lactone is proportional to the production of NADPH. The increase in NADPH concentration results in an increase in absorbance at 340 nm. To assay G6PDH activity, therefore, production of NADPH is determined by measuring increase in absorbance at 340 nm spectrophotometrically. This increase rate is then converted to unit of activity and specific activity of G6PDH. In this procedure, a generalized method is given for bacterial G6PDH assays emphasizing on a cyanobacterium Synechocystis sp. PCC6803 (Schaeffer and Stanier, 1978; Karakaya et al., 2008, 2012) and a heterotrophic bacterium E.coli (Hylemon and Phibbs, 1972; Barnel et al., 1990).
分光光度测定培养细胞的谷氨酰胺合成酶的活性

Spectrophotometric Determination of Glutamine Synthetase Activity in Cultured Cells

分光光度测定培养细胞的谷氨酰胺合成酶的活性

IP I-Chen Peng
AB Alex J. Bott
WZ Wei-Xing Zong
14011 Views
Oct 5, 2016
Glutamine synthetase (GS), which catalyzes the conversion of glutamate and ammonia to glutamine, is widely distributed in animal tissues and cell culture lines. The importance of this enzyme is suggested by the fact that glutamine, the product of GS-catalyzed de novo synthesis reaction, is the most abundant free amino acid in blood (Smith and Wilmore, 1990). Glutamine is involved in many biological processes including serving as the nitrogen donor for biosynthesis, as an exchanger for the import of essential amino acids, as a means to detoxifying intracellular ammonia and glutamate, and as a bioenergetics nutrient to fuel the tricarboxylic acid (TCA) cycle (Bott et al., 2015). The method for the assay of GS enzymatic activity relies on its γ-glutamyl transferase reaction by measuring γ-glutamylhydroxamate synthesized from glutamine and hydroxylamine, and the chromatographic separation of the reaction product from the reactants (Deuel et al., 1978). An overview of the GS glutamyl transferase reaction can be found in Figure 1. GS activity was measured by a spectrophotometric assay at a specific wavelength of 560 nm using a microplate reader. The method is simple, and has a comparable sensitivity with those methods applying radioactively labelled substrates. This modified procedure has been applied to assay/determine GS activity in cultured cell lines including the human mammary epithelial MCF10A cells and the murine pre-B FL5.12 cells, and could be used to measure GS activity in other cell lines.Figure 1. An overview of the GS glutamyl transferase reaction
胰蛋白酶敏感性试验研究蛋白质的折叠状态

Trypsin Sensitivity Assay to Study the Folding Status of Proteins

胰蛋白酶敏感性试验研究蛋白质的折叠状态

Satoshi Ninagawa Satoshi Ninagawa
KM Kazutoshi Mori
11172 Views
Oct 5, 2016
This protocol aims to evaluate folding status of proteins, utilizing trypsin sensitivity. Unfolded/misfolded proteins are more susceptible to trypsin than folded proteins, because trypsin easily accesses and cleaves loosely folded parts of proteins. This method is especially useful to compare tightness of the folding among wild-type and mutant proteins. As trypsin generally cleaves a peptide bond at the carboxyl-terminal side of the amino acids lysine or arginine, this method can be used to analyze the folding status of different types of proteins such as integral membrane or soluble proteins (Ninagawa et al., 2015) and is applicable to cell lysates of any species and tissues as well as to recombinant proteins. You can use this technique with regular molecular and cell biology equipment.
细胞壁结合的p-香豆和阿魏酸的分析

Cell Wall-bound p-Coumaric and Ferulic Acid Analysis

细胞壁结合的p-香豆和阿魏酸的分析

NA Nickolas Anderson
8168 Views
Oct 5, 2016
Hydroxycinnamic acids, such as p-coumaric acid and ferulic acid, are a major class of compounds derived from the phenylpropanoid pathway. These compounds are widely conserved in plants and primarily accumulate in the secondary cell wall. They serve as important structural components that contribute to the overall strength and rigidity of plant cell walls and are also potent antioxidants valued for nutritional consumption. This protocol describes a method for analyzing hydroxycinnamic acids that are released after incubation under alkaline conditions.
聚糖酶敏感性试验研究蛋白质的折叠状态

PNGase Sensitivity Assay to Study the Folding Status of Proteins

聚糖酶敏感性试验研究蛋白质的折叠状态

Satoshi Ninagawa Satoshi Ninagawa
KM Kazutoshi Mori
8103 Views
Oct 5, 2016
This protocol aims to evaluate folding status of proteins, utilizing peptide:N-glycanase (PNGase) sensitivity. In the cytosol, PNGase works as a deglycosylation-enzyme. N-glycans on unfolded/misfolded proteins are more susceptible to PNGase than N-glycans on folded proteins because of the preference of PNGase to non-native proteins. PNGase is endogenously expressed in various cell types, including HCT116 cells, DT40 cells and mouse embryonic fibroblast cells. Partial deglycosylation by PNGase can be detected by faster migration of band in SDS-PAGE. You can compare tightness of the folding among wild-type and mutant proteins of interest. This method can be used with regular molecular and cell biology equipment, but applied only to glycoproteins.

癌症生物学

采用HUVEC纤维蛋白珠催芽试验评估血管生成抑制因子

Evaluation of Angiogenesis Inhibitors Using the HUVEC Fibrin Bead Sprouting Assay

采用HUVEC纤维蛋白珠催芽试验评估血管生成抑制因子

LW Laura Winters
NT Nithya Thambi
JA Julian Andreev
FK Frank Kuhnert
15399 Views
Oct 5, 2016
Angiogenesis, the growth of new blood vessels from pre-existing vessels, is a critical process that occurs during normal development and tumor formation. Targeting tumor angiogenesis by blocking the activity of vascular endothelial growth factor (VEGF) has demonstrated some clinical benefit; nevertheless there is a great need to target additional angiogenic pathways. We have found that the human umbilical vein endothelial cell (HUVEC) fibrin bead sprouting assay (FBA) is a robust and predictive in vitro assay to evaluate the activity of angiogenesis inhibitors. Here, we describe an optimized FBA protocol for the assessment of biological inhibitors of angiogenesis and the automated quantification of key endpoints.
从 HER2 转基因小鼠分离原代乳腺癌细胞

Isolation of Primary Breast Cancer Cells from HER2 Transgenic Mice

从 HER2 转基因小鼠分离原代乳腺癌细胞

SL Shou Liu
HC Hexin Chen
14813 Views
Oct 5, 2016
HER2 is a tyrosine kinase receptor, which is overexpressed in about 30% of breast cancer patients. Its overexpression leads to mammary tumorigenesis and increased invasion and metastasis (Slamon et al., 1987). HER2 transgenic mouse (FVB/N-MMTVneu mouse) is a well-established model of mammary tumor in human (Fantozzi and Christofori, 2006). Although in vivo models are excellent for assessing the influence of various factors, especially microenvironment, on development of breast cancer, a convenient and less costly way to study the underlying molecular events is utilizing cells derived from the model under evaluation. In order to explore the molecular mechanism by which HOXB7 inhibits initiation, but promotes metastasis of breast tumors, we generated mouse breast cancer cell line from HER2 transgenic mouse (Liu et al., 2015). This protocol may be useful for the generation of breast cancer cell line from mice with other genetic backgrounds.

细胞生物学

使用 MitoSOX 和 CellROX 在斑马鱼中检测活性氧类

Detection of Reactive Oxygen Species Using MitoSOX and CellROX in Zebrafish

使用 MitoSOX 和 CellROX 在斑马鱼中检测活性氧类

Alberto Rissone Alberto Rissone
Fabio Candotti Fabio Candotti
27858 Views
Oct 5, 2016
The production of free radicals is the result of normal cellular metabolism. Free radicals are involved in innumerable different cellular and biological functions such as signaling, proliferation, cell death, aging, inflammation, etc. Under physiological conditions, the levels of reactive oxygen species (ROS) are strictly regulated by the cells. However, during stressful conditions such as oxidative stress, ROS levels increase causing damages to different molecules like DNA, lipids and proteins. Increased levels of ROS have been associated with a growing list of different diseases. In this protocol, we used MitoSOX and CellROX Green oxidative stress probes to label the intracellular ROS and detect the fluorescence using cell sorting and confocal analyses.
小鼠角膜基质成纤维细胞原代培养

Mouse Corneal Stroma Fibroblast Primary Cell Culture

小鼠角膜基质成纤维细胞原代培养

YZ Yujin Zhang
YW Yen-Chiao Wang
OY Okada Yuka
LZ Lingling Zhang
Chia-Yang Liu Chia-Yang Liu
10084 Views
Oct 5, 2016
This protocol is developed for primary cell culture of cornea stromal keratocytes isolated from neonatal mouse eyeballs. It provides an optimal condition to isolate stromal keratocytes which maintain high viability for cell culture.

发育生物学

单肌纤维的分离、培养和染色

Isolation, Culture, and Staining of Single Myofibers

单肌纤维的分离、培养和染色

Yann Simon Gallot Yann Simon Gallot
SH Sajedah M. Hindi
AM Aman K. Mann
Ashok Kumar Ashok Kumar
16491 Views
Oct 5, 2016
Adult skeletal muscle regeneration is orchestrated by a specialized population of adult stem cells called satellite cells, which are localized between the basal lamina and the plasma membrane of myofibers. The process of satellite cell-activation, proliferation, and subsequent differentiation that occurs during muscle regeneration can be recapitulated ex vivo by isolation of single myofibers from skeletal muscles and culturing them under suspension conditions. Here, we describe an improved protocol to evaluate ex vivo satellite cells activation through isolation of single myofibers from extensor digitorum longus (EDL) muscle of mice and culturing and staining of myofiber-associated satellite cells with the markers of self-renewal, proliferation, and differentiation.

免疫学

LPS诱导腹膜炎过程中嗜中性粒细胞免疫浸润分析

In vivo Analysis of Neutrophil Infiltration during LPS-induced Peritonitis

LPS诱导腹膜炎过程中嗜中性粒细胞免疫浸润分析

Lucia de Almeida Lucia de Almeida
Andrea Dorfleutner Andrea Dorfleutner
Christian Stehlik Christian Stehlik
11147 Views
Oct 5, 2016
Bacterial lipopolysaccharide (LPS) is present in the outer membrane of Gram-negative bacteria and functions as pathogen-associated molecular pattern (PAMP) (Whitfield and Trent, 2014). LPS therefore is a potent activator of inflammatory responses leading to cytokine release and neutrophils recruitment. The lipid A moiety of LPS activates the complex consisting of the LPS binding protein (LBP), CD14, MD-2 and Toll-like receptor 4 (TLR4) and the non-canonical inflammasome-linked caspases-4, 5 and 11, which in turn activate the canonical NLRP3 inflammasome (Shi et al., 2014; Hagar et al., 2013; Kayagaki et al., 2013; Hoshino et al., 1999; Poltorak, 1998; Nagai et al., 2002; Park et al., 2009; Ratsimandresy et al., 2013). In particular, the cytokine interleukin (IL)-1β produced in response to inflammasome activation has a crucial role in neutrophil recruitment through promoting neutrophil adhesion and migration (McDonald et al., 2010).This protocol allows studying of inflammatory response induced by LPS that affect neutrophil infiltration by tracking myeloperoxidase (MPO) activity in vivo (de Almeida et al., 2015).
ASC颗粒诱导腹膜炎模型的构建

ASC-particle-induced Peritonitis

ASC颗粒诱导腹膜炎模型的构建

Lucia de Almeida Lucia de Almeida
Andrea Dorfleutner Andrea Dorfleutner
Christian Stehlik Christian Stehlik
7217 Views
Oct 5, 2016
In response to pathogen infection and tissue damage, inflammasome sensors such as NLRP3 and AIM2 are activated, which triggers PYRIN domain (PYD)-mediated ASC nucleation, followed by self-perpetuating ASC polymerization, which ultimately culminates in caspase-1 activation, interleukin (IL)-1β and IL-18 processing and release and pyroptosis (Ratsimandresy et al., 2013; Cai et al., 2014). Inflammasomes release not only cytokines, but also the polymeric ASC danger particles (pASC) by pyroptosis, which perpetuate and propagate inflammasome responses to bystander cells to engage cell intrinsic ASC and caspase-1 (Baroja-Mazo et al., 2014; Franklin et al., 2014). In this protocol we describe intraperitoneal injection of polymeric ASC particles as a danger signal and measure neutrophil infiltration and levels of the pro-inflammatory cytokine IL-1β by ELISA in the peritoneal lavage (de Almeida et al., 2015).

微生物学

采用原子吸收光谱法测量荚膜红细菌细胞中的铜

Measurement of Cellular Copper in Rhodobacter capsulatus by Atomic Absorption Spectroscopy

采用原子吸收光谱法测量荚膜红细菌细胞中的铜

PT Petru-Iulian Trasnea
Dorian Marckmann Dorian Marckmann
Marcel Utz Marcel Utz
Hans-Georg Koch Hans-Georg Koch
10634 Views
Oct 5, 2016
Copper is an essential micronutrient and functions as a cofactor in many enzymes such as heme-Cu oxygen reductases, Cu-Zn superoxide dismutases, multi-copper oxidases and tyrosinases. However, due to its chemical reactivity, free copper is highly toxic (Rae et al., 1999) and all organisms use sophisticated machineries for controlling uptake, storage and export of Cu. The strict control of the cellular Cu homeostasis prevents toxic effects but sustains synthesis of cuproproteins. Monitoring the copper levels within the cell and within different cellular compartments is an essential approach for identifying the contribution of different proteins in maintaining the cellular copper equilibrium. Therefore, whole cells and whole-cell lysates, which can be further fractionated into cytoplasm and periplasm, were digested and the protein concentration was determined by Lowry assay. Subsequently, the copper content was measured by atomic absorption spectroscopy (AAS) and the Cu content per mg of protein was calculated. This provides a simple and cost-effective method of producing quantifiable results about the cellular Cu content. To exemplify this method, we used the phototrophic α-proteobacterium Rhodobacter capsulatus, which is commonly used as a model organism for studying Cu-trafficking in bacterial cells (Ekici et al., 2012).

分子生物学

PCR检测研究小立碗藓遭受总甲磺酸甲酯损坏后的基因组完整性

PCR-based Assay for Genome Integrity after Methyl Methanesulfonate Damage in Physcomitrella patens

PCR检测研究小立碗藓遭受总甲磺酸甲酯损坏后的基因组完整性

MO Masaki Odahara
TI Takayuki Inouye
YN Yoshiki Nishimura
YS Yasuhiko Sekine
8818 Views
Oct 5, 2016
In plant cells, genomic DNA exists in three organelles: the nucleus, chloroplast, and mitochondrion. Genomic DNA can be damaged by endogenous and exogenous factors, but the damaged DNA can be repaired by DNA repair systems. To quantify the extent of their repair activity of on individual genomic DNA, a PCR-based assay utilizing long amplicons is valuable for evaluable. This assay is based on the inhibitory effects of methyl methanesulfonate (MMS)-induced DNA damage on the amplicons. This assay is useful for assessing DNA double-strand repair pathways, such as homologous recombination repair, as it detects DNA double-strand breaks produced by MMS in vivo.

神经科学

蔗糖偏好试验测量小鼠的快感缺乏行为

Sucrose Preference Test to Measure Anhedonic Behaviour in Mice

蔗糖偏好试验测量小鼠的快感缺乏行为

Tsvetan Serchov Tsvetan Serchov
Dv Dietrich van Calker
KB Knut Biber
36608 Views
Oct 5, 2016
The sucrose preference test (SPT) is a reward-based test, used as in indicator of anhedonia. Anhedonia, or the decreased ability to experience pleasure, represents one of the core symptoms of depression. Rodents are born with an interest in sweet foods or solutions. Reduced preference for sweet solution in SPT represents anhedonia, while this reduction can be reversed by treatment with antidepressants. SPT is carried out in the animal’s home cage. For the SPT, mice are presented with 2 dual bearing sipper tubes. One tube contains plain drinking water, and the second contains a sucrose solution. Water and sucrose solution intake is measured daily, and the positions of two bottles is switched daily to reduce any confound produced by a side bias. Sucrose preference is calculated as a percentage of the volume of sucrose intake over the total volume of fluid intake and averaged over the testing period. Here, we present our protocol that has been able to detect anhedonia in mice subjected to a chronic depression model.
小鼠的类焦虑样行为的光照/黑暗转换试验

Light/Dark Transition Test to Assess Anxiety-like Behavior in Mice

小鼠的类焦虑样行为的光照/黑暗转换试验

Tsvetan Serchov Tsvetan Serchov
Dv Dietrich van Calker
KB Knut Biber
24019 Views
Oct 5, 2016
The light/dark transition test (LDT) is one of the most widely used tests to measure anxiety-like behavior in mice. The test is based on the natural aversion of mice to brightly illuminated areas and on their spontaneous exploratory behavior in response to mild stressors, such as novel environment and light. This test is also sensitive to anxiolytic drugs treatment. The test apparatus consists of a box divided into a small (one third) dark chamber and a large (two thirds) brightly illuminated chamber. Mice are placed into the lit compartment and allowed to move freely between the two chambers. The first latency to enter the dark compartment and the total time spent in lit compartment are indices for bright-space anxiety in mice. Transitions are index of activity-exploration, because of habituation over time. LDT is quick and easy to use, without requiring prior training of animals. Here, we present our protocol that has been able to detect both anxiolytic-like (reduced anxiety) and anxiogenic-like (increased anxiety) behavior in mice.
器官型脊髓片培养和脊髓片上细胞增殖的检测方法

Organotypic Spinal Cord Slice Cultures and a Method to Detect Cell Proliferation in These Slices

器官型脊髓片培养和脊髓片上细胞增殖的检测方法

Jillian M. Daniel Jillian M. Daniel
Jim Deuchars Jim Deuchars
Susan A. Deuchars Susan A. Deuchars
12769 Views
Oct 5, 2016
In these culture models, the normal cytoarchitecture and local neuronal circuits of the spinal cord are preserved, offering a compromise between dissociated cell cultures and complete animal studies. The addition of 5-ethynyl-2’-deoxyuridine (EdU) to the culture medium allows for the detection of proliferating cells.
采用泛素蛋白或酵素作为底物的非放射性体外PINK1激酶实验

Non-radioactive in vitro PINK1 Kinase Assays Using Ubiquitin or Parkin as Substrate

采用泛素蛋白或酵素作为底物的非放射性体外PINK1激酶实验

FF Fabienne C. Fiesel
Roman Hudec Roman Hudec
Wolfdieter Springer Wolfdieter Springer
9174 Views
Oct 5, 2016
This protocol describes the in vitro phosphorylation of ubiquitin and Parkin by the kinase PINK1 using recombinant proteins. Both substrates, ubiquitin and Parkin, are phosphorylated at the conserved serine 65 residue (pS65-ubiquitin and pS65-Parkin). The protocol also includes the use of monomeric and K48- and K63-linked poly-ubiquitin chains as alternative substrates. Although there are commercially available antibodies, we have not tested their performance in this assay since, but used validated antibodies from our laboratory. An alternative antibody-independent method, the use of phos-tag gels to detect pS65-ubiquitin and pS65-Parkin, is described in addition.

植物科学

假单胞菌侵染被荧光葡萄孢菌预处理过的葡萄叶片实验

An Assay to Study Botrytis cinerea-infected Grapevine Leaves Primed with Pseudomonas fluorescens

假单胞菌侵染被荧光葡萄孢菌预处理过的葡萄叶片实验

CG Charlotte Gruau
Patricia Trotel-Aziz Patricia Trotel-Aziz
BV Bas Verhagen
SV Sandra Villaume
Fanja Rabenoelina Fanja Rabenoelina
BC Barbara Courteaux
Christophe Clément Christophe Clément
Fabienne Baillieul Fabienne Baillieul
Aziz Aziz Aziz Aziz
12912 Views
Oct 5, 2016
Grapevine (Vitis vinifera L.) is susceptible to an array of diseases among them the grey mold caused by the necrotrophic fungus Botrytis cinerea that decreases grape productivity and quality. To ensure a satisfactory yield and harvest quality numerous chemical fungicides are required, but they have serious drawbacks. One alternative is the use of beneficial bacteria to improve plant health. Pseudomonas fluorescens has been shown to trigger a plant-mediated resistance response in aboveground plant tissues against fungal, oomycete, bacterial, and viral pathogens. Triggered plant resistance exploits mechanisms of the plant immune system through a priming state that provides plants with enhanced capacity for rapid and strong activation of defense responses after pathogen infection, resulting in a lower fitness-cost. The primed responses by beneficial bacteria include induced expression of defense-related genes, cell wall reinforcement, and the production of secondary metabolites after pathogen infection. In this protocol, we describe the experimental design to evaluate the priming state of grapevine plants by the beneficial bacterium Pseudomonas fluorescens PTA-CT2 and their resistance level to Botrytis cinerea according to Verhagen et al. (2011) and Gruau et al. (2015).